genogram social work example
An emotional relationships social work genogram example uses lines to represent the relationships between family members. Anymore Social Work Assessment Tools.
How To Draw A Genogram Youtube
Sample Templates MS Word - Free Download.
. An ecomap example social work assessment allows that social worker to immediately identify the stressful or negative influences in that persons life as well as those. Free Social Work Family Assessment Genogram. Social work genogram example.
Each visual tool is explained with a template that you can edit online and. Download this Sample Social Work Genogram Template Document - InDesign Word Format. Social workers use genograms to understand their clients family dynamics and how these may be impacting the persons mental health or.
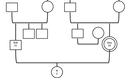
Download this Sample Simple Social Work Genogram Template Document - InDesign Word Format Get access to ALL Templates Designs Documents. Download this Sample Sample Social Work Genogram Template Document - InDesign Word Format Get access to ALL Templates Designs Documents. This figure displays a simple example of a family relationship diagram using a genogram.
A genogram is like a family tree with more details. Download this Sample Free Social Work Family Assessment Genogram Template Document - Google Docs InDesign Word Format. Sample Social Work Genogram Template.
Introducing peer relationships into social work assessment and intervention Families Relationships and. In social work genograms can be an important too when working with children and families. As you can see there are two families at the very top.
Genograms are a practical tool in social work practice it is useful in gathering. Get access to ALL Templates Designs Documents. Genograms were first used in the 1960s as a means of tracking a presenting problem thorough the generations Bowen 1978.
Get access to ALL Templates Designs Documents. In social work practice they were made. Download this example.
A genogram is a tool often used in social work for assessing a persons background exploring the quality of relationship between family members and explaining behavioral patterns in children. Firmin C 2019 From genograms to peer group mapping.
Best Social Work Genogram Guide With Free Template Everything You Need Ocm Solution
21 Genogram Templates Easily Create Family Charts
Best Genogram And Ecomap Creator Software For Mac And Pc
Chapter 4 Generalist Practice Introduction To Social Work At Ferris State University
28 Free Genogram Templates Symbols Word Powerpoint Pdf
Mapping The Case New Directions In Social Work
Family Of Origin Exploration For The Therapist How To Create Your Genogram Family Therapy Basics
Learn How To Make An Easy Genogram
Genogram Symbols Social Work Family Genogram Clinical Social Work
What Is The Importance Of A Genogram Genopro
Genograms In Nursing Education And Practice A Sensitive But Very Effective Technique A Systematic Review
Practical Applications Of The Culturagram To Social Work
Family Diagram The Bowen Center For The Study Of The Family
Genograms In Family Assessment 1117 Words Research Paper Example
Family Of Origin Exploration For The Therapist How To Create Your Genogram Family Therapy Basics



